Welcome to Freym PC Blog
Descubre las últimas noticias y tendencias en Seguridad de la Información y curiosidades sobre ciencia e historia.
Latest Posts

La Paradoja del Gato de Schrödinger: Origen y Significado <b...

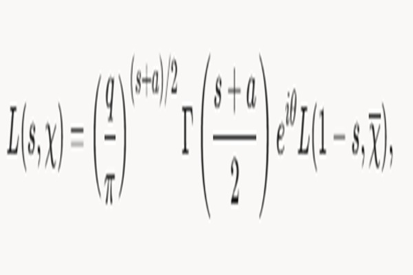
La hipótesis de Riemann sigue siendo uno de los problemas más fascinantes y esquivos de las matemáticas modernas. Hasta el 1 de marzo de 20...

CVE-2025-53770: Vulnerabilidad crítica en Microsoft SharePoint ("ToolShell")...

body { font-family: Georgia, 'Times New Roman', serif; line-height: 1.6; max-width: 100...

¿En qué se basa el minado de criptomonedas? El minado o minería de criptomonedas es el proceso me...

ul { margin-left: 2em; } table { border-collapse: collapse; width: 90%; margin: 1em 0;} th, td { border: 1px solid #bbb;...